• Предмет: Физика
  • Автор: hbvg1
  • Вопрос задан 9 лет назад

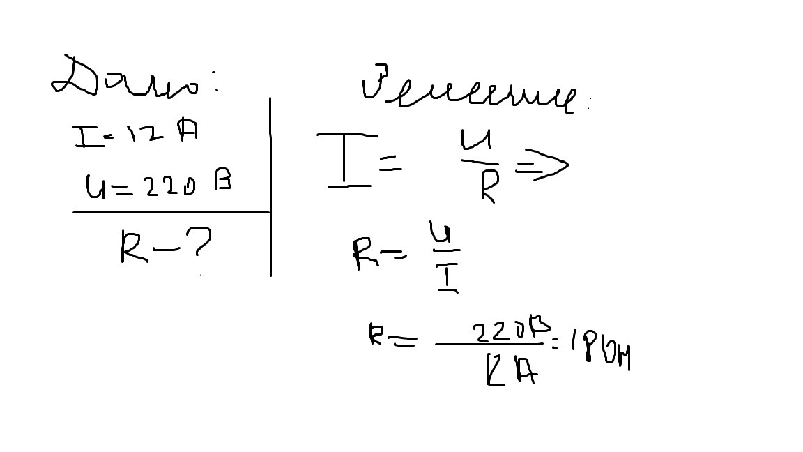
дано y =12 a u=220b r - ?

Ответы

Ответ дал: Amorfus
0
если я правильно понял условие задача на закон Ома 
Приложения:
Ответ дал: hbvg1
0
спасибо тебе
Вас заинтересует