• Предмет: Алгебра
  • Автор: Gurjok
  • Вопрос задан 9 лет назад

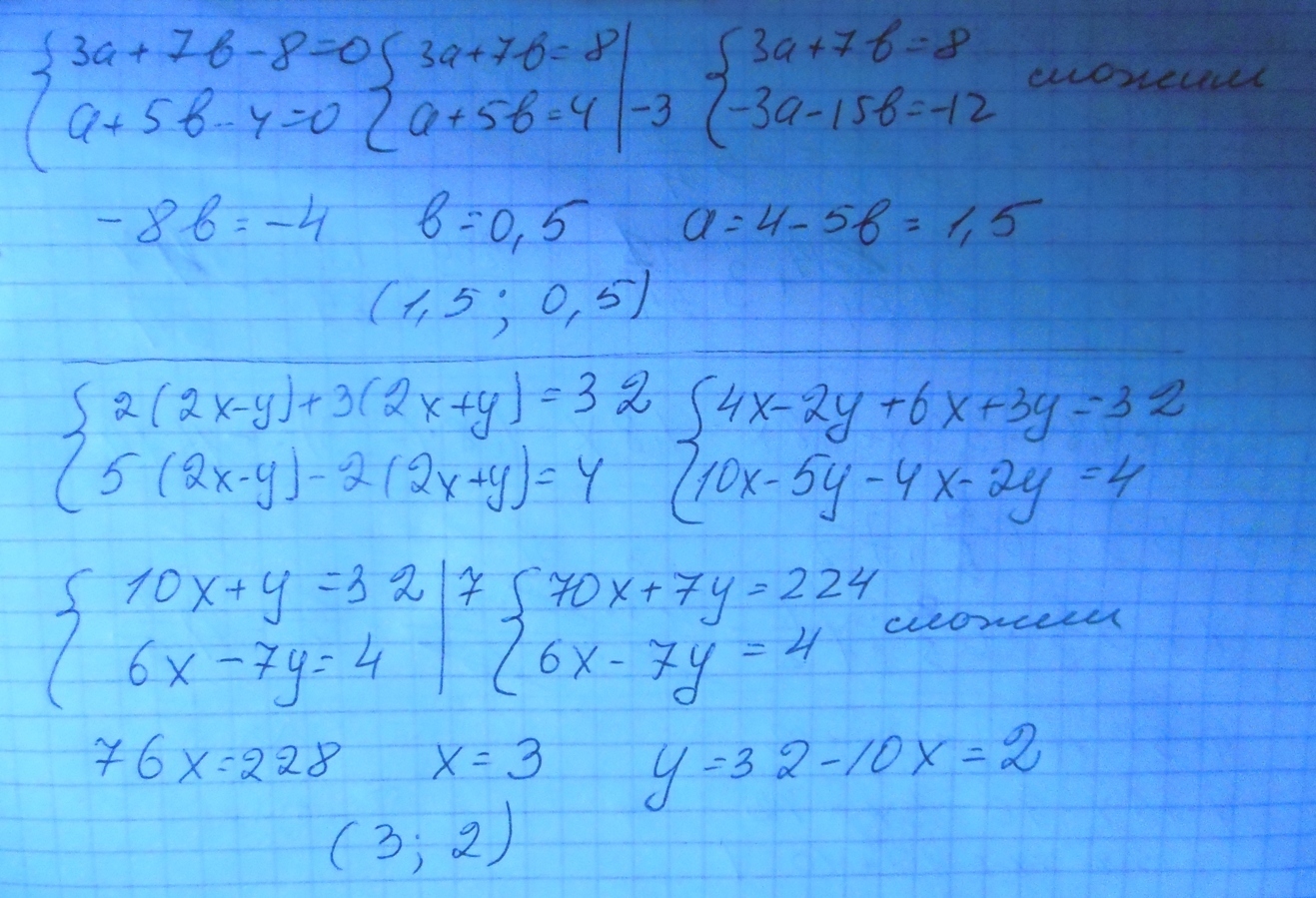
Помогите решить пожалуйста . Заранее большое спасибо .

Приложения:

Ответы

Ответ дал: miron2077
0
!!!!!!!!!!!!!!!!!!!!!!!!!!!!!!!!!!!!
Приложения:
Вас заинтересует