• Предмет: Математика
  • Автор: Meloly
  • Вопрос задан 9 лет назад

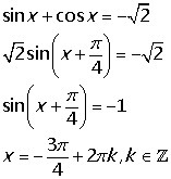
Вирішити рівняння: sinx + cosx = -√2

Ответы

Ответ дал: Аноним
0
Формулы содержащие дополнительный угол.
Приложения:
Вас заинтересует