Ответы
Ответ дал:
0
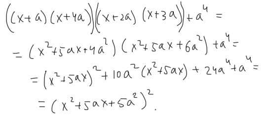
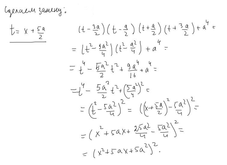
На картинках два способа решения.
Приложения:
Ответ дал:
0
Перемножим
25 a^4 + 50 a^3 x + 35 a^2 x^2 + 10 a x^3 + x^4
попробуем выделить полный квадрат
в него явно входит 5a^2 и x^2
Но при наличии только этих двух слагаемых результирующий многочлен не имел бы а и х в третьей степени.
Значит, есть ещё что-то. Обозначим это нечто как z
(5a^2 +z+ x^2 )^2-(25 a^4 + 50 a^3 x + 35 a^2 x^2 + 10 a x^3 + x^4)=
z^2 + 2 x^2 z + 10 a^2 z - 50 a^3 x - 25 a^2 x^2 - 10 a x^3 =0
Решим это квадратное уравнение относительно z
корня два
z = 5 a x
и второй
z = -10 a^2 - 5 a x - 2 x^2
второй не интересен :)
Ответ
(5 a^2 + 5 a x + x^2)^2 - квадрат исходного выражения
25 a^4 + 50 a^3 x + 35 a^2 x^2 + 10 a x^3 + x^4
попробуем выделить полный квадрат
в него явно входит 5a^2 и x^2
Но при наличии только этих двух слагаемых результирующий многочлен не имел бы а и х в третьей степени.
Значит, есть ещё что-то. Обозначим это нечто как z
(5a^2 +z+ x^2 )^2-(25 a^4 + 50 a^3 x + 35 a^2 x^2 + 10 a x^3 + x^4)=
z^2 + 2 x^2 z + 10 a^2 z - 50 a^3 x - 25 a^2 x^2 - 10 a x^3 =0
Решим это квадратное уравнение относительно z
корня два
z = 5 a x
и второй
z = -10 a^2 - 5 a x - 2 x^2
второй не интересен :)
Ответ
(5 a^2 + 5 a x + x^2)^2 - квадрат исходного выражения
Приложения:
Вас заинтересует
2 года назад
7 лет назад
7 лет назад
10 лет назад
10 лет назад
10 лет назад
10 лет назад