Ответы
Ответ дал:
0
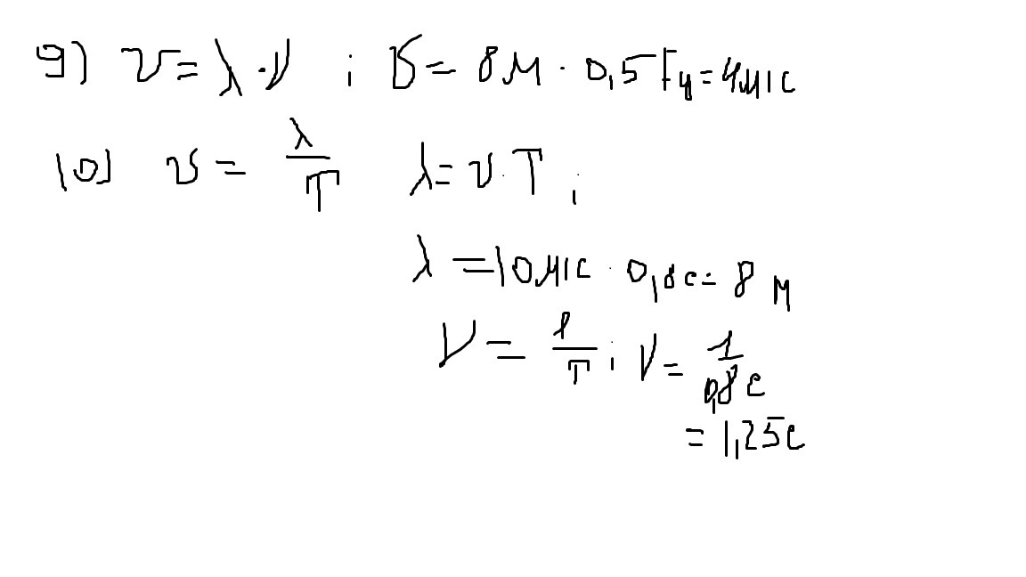
Всё просто, колебания и волны. А баллов не 15 (((
Приложения:

Ответ дал:
0
Да и еще частота там в секунда в минус первой степени
Вас заинтересует
2 года назад
6 лет назад
9 лет назад
9 лет назад