• Предмет: Алгебра
  • Автор: Alisena121
  • Вопрос задан 9 лет назад

Ребят откройте фото. Решите пожалуйста уравнения. Буду очень благодарна.

Приложения:

Ответы

Ответ дал: Chocopads
0
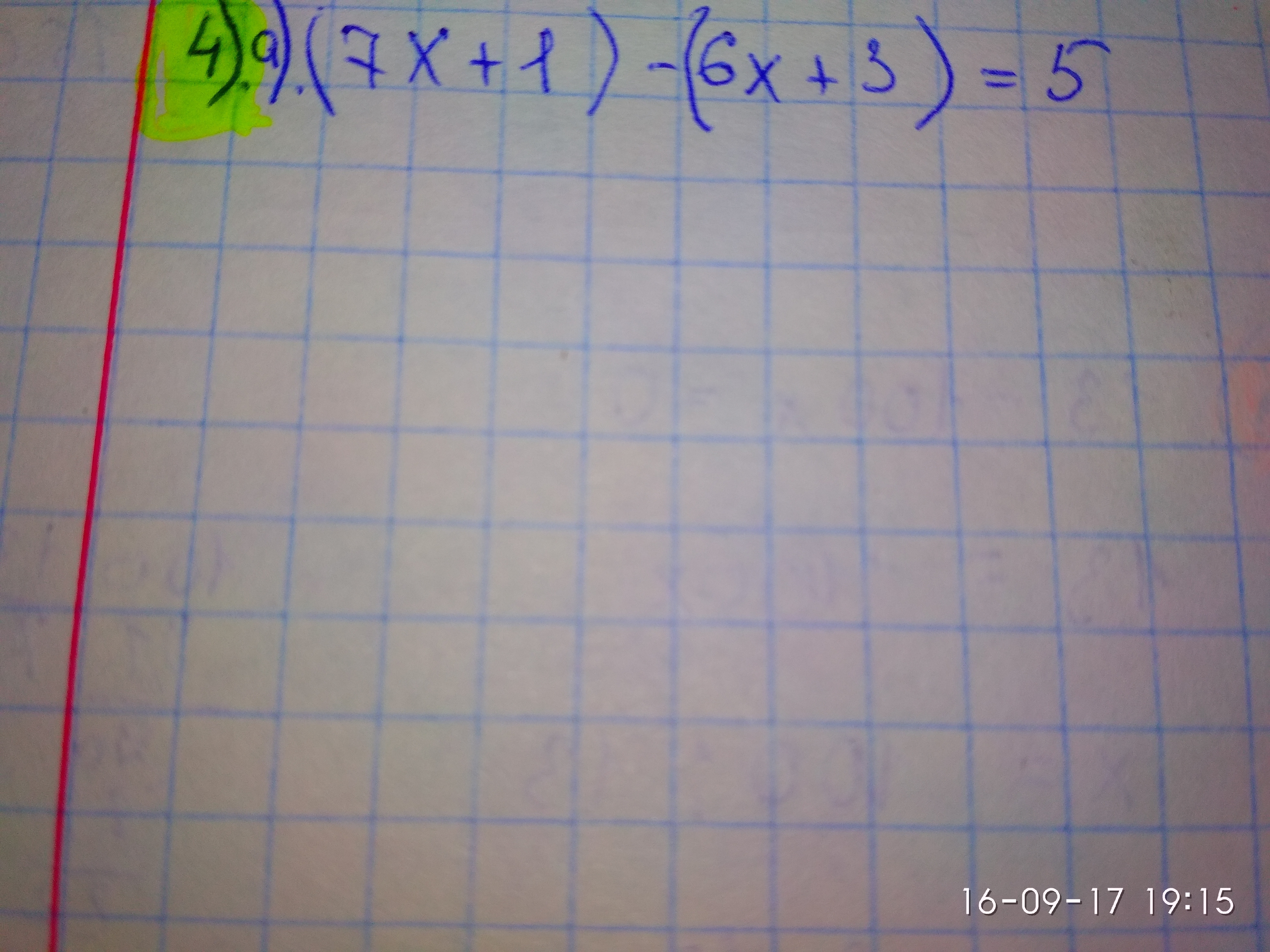
(7х+1)-(6х+3)=5
7х+1-6х-3=5
7х-6х=5+3-1
х=7
Ответ дал: Alisena121
0
спасибо)))
Ответ дал: DenQ04a
0
(7x+1) - (6x+3) = 5
7x + 1 - 6x - 3 = 5
x - 2 = 5
x = 7
Ответ дал: Alisena121
0
нет это не тот ответ
Ответ дал: Alisena121
0
у тя не точно напмсаннно
Ответ дал: DenQ04a
0
Что я по вашему не так сделал? Ответ 7
Ответ дал: DenQ04a
0
У меня вышло так же, как и на 2 ответе.
Вас заинтересует