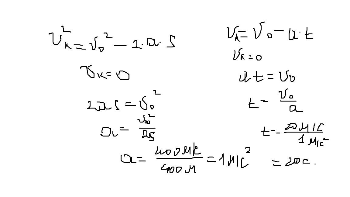
Поезд движется со скоростью 20 м/с. При торможении до полной остановки он прошёл расстояние 200 м. Определите время его торможения и тормозное ускорение.
Ответы
Ответ дал:
0
Вот решение, формулы равнопеременного движения
Приложения:

Вас заинтересует
2 года назад
2 года назад
6 лет назад
6 лет назад
9 лет назад
9 лет назад