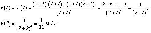
Материальная точка движется по закону x(t)=(1+t)/(2+t). Найти её скорость в момент времени t=2с. Задача на физический смысл производной.
Ответы
Ответ дал:
0
**********************************
Приложения:

Вас заинтересует
2 года назад
6 лет назад
9 лет назад
9 лет назад
10 лет назад
10 лет назад