Здравствуйте, помогите решить домашнее задание по теме:
« Тригонометрические выражения, тождества, уравнения ».
3)Решите уравнения:
Приложения:

Ответы
Ответ дал:
0
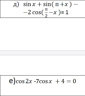
д)
sinx+sin(π+x)-2cos(π/2-x)=1
sinx-sinx-2sinx=1
-2sinx=1
sinx= -1/2
x=(-1)^(n+1)*(π/6)+πn
e)
cos2x-7cosx+4=0
2cos²x-1-7cosx+4=0
2cos²x-7cosx+3=0
cosx=a, |a|<=1
2a²-7a+3=0
D=49-24=25
a₁=(7+5)/4=3(a₁>1)
a₂=(7-5)/4=1/2
cosx=1/2
x=(-1)^(n+1)*(π/3)+2πn
sinx+sin(π+x)-2cos(π/2-x)=1
sinx-sinx-2sinx=1
-2sinx=1
sinx= -1/2
x=(-1)^(n+1)*(π/6)+πn
e)
cos2x-7cosx+4=0
2cos²x-1-7cosx+4=0
2cos²x-7cosx+3=0
cosx=a, |a|<=1
2a²-7a+3=0
D=49-24=25
a₁=(7+5)/4=3(a₁>1)
a₂=(7-5)/4=1/2
cosx=1/2
x=(-1)^(n+1)*(π/3)+2πn
Вас заинтересует
2 года назад
2 года назад
7 лет назад
7 лет назад
9 лет назад
9 лет назад
10 лет назад
10 лет назад