• Предмет: Математика
  • Автор: 1YuriKOkay1
  • Вопрос задан 9 лет назад

Здравствуйте, помогите решить домашнее задание.


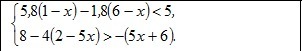
4. Решите систему неравенств:

Приложения:

Ответы

Ответ дал: IrkaShevko
0
{5,8 - 5,8x - 10,8 + 1,8x < 5
{8 - 8 + 20x > -5x - 6

{-4x < 5 + 5
{25x > -6

{x > 2,5
{x > -0,24

x∈ (2,5; +∞)
Вас заинтересует