• Предмет: Физика
  • Автор: kornevanadya0
  • Вопрос задан 9 лет назад

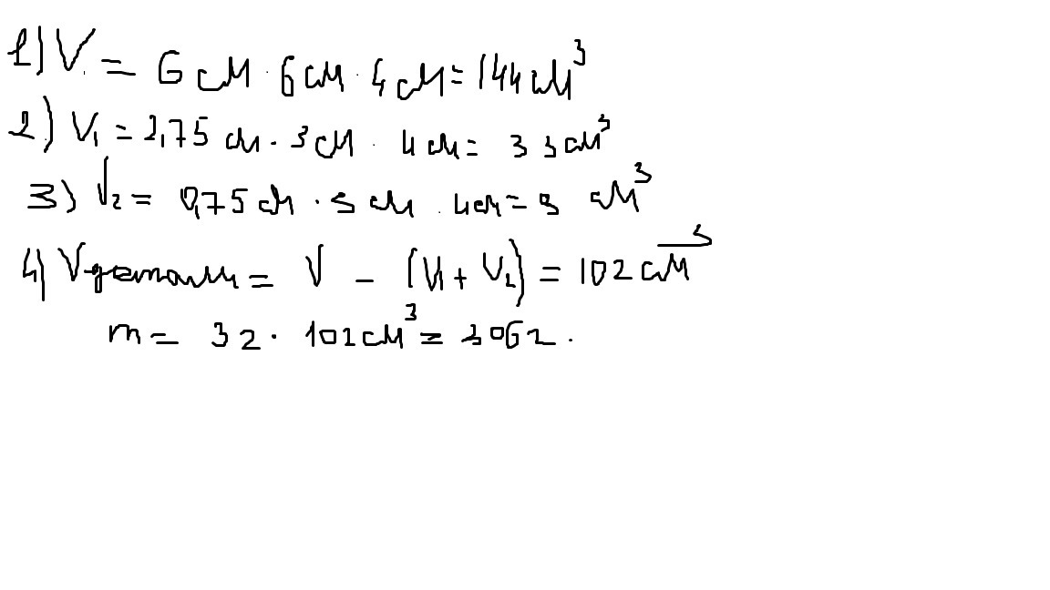
Определите массу детали, чертёж которой приведен на рисунке. Ответ выразите в гг, округлив до целых. Масса 1 см31 см3 детали равна 3 г3 г. Сторона ячейки квадратной сетки составляет 2,5 мм2,5 мм.

Приложения:

Ответы

Ответ дал: Amorfus
0
Чтобы определить массу детали нужно её объем  детали умножить на значение массы в 1см кубическом. Чтобы найти объем детали нахожу для начала полный объем заготовки. Действием №1. Затем поочередно нахожу объемы выемок. Действие 2,3. Далее вычитая из полного объема заготовки вычитаю объем выемок, нахожу объем детали. Действие № 4. Далее дело техники определяю массу детали. Действие 5. 
Приложения:
Ответ дал: matvejgorbunov
0
скажи какой ответ а то я не понял
Ответ дал: Amorfus
0
306 г
Вас заинтересует