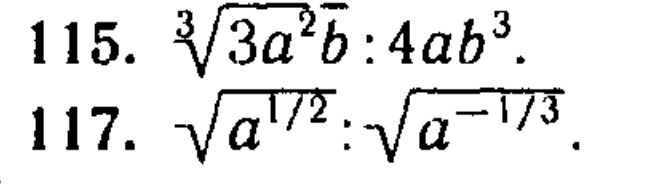
Помогите решить =) Впервые имею дело с подобным, не уверен в своем ответе. Хотелось бы сверить с вашим(и) ответами. (С решением , пожалуйста)
Приложения:

Ответа на этот вопрос пока нет. Попробуйте найти его через форму поиска.
Вас заинтересует
2 года назад
6 лет назад
9 лет назад
9 лет назад
10 лет назад
10 лет назад