• Предмет: Математика
  • Автор: santos76
  • Вопрос задан 9 лет назад

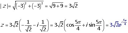
Представить в показательной форме числа: z= -3-3i

Ответы

Ответ дал: Аноним
0
Сначала привел в тригонометрической форме а затем уже в показательной форме
Приложения:
Вас заинтересует