• Предмет: Физика
  • Автор: энштейн33
  • Вопрос задан 9 лет назад

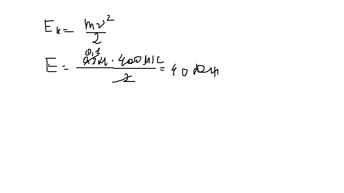
найдите кинетическую энергию мяча масса 200г личащийся со скорости 72 км/ч

Ответы

Ответ дал: Amorfus
0
Воспользуемся формулой для расчета кинетической энергии 
Приложения:
Ответ дал: энштейн33
0
а формула
Ответ дал: Amorfus
0
ЧТо тут сомневаться формула за 7 кл
Ответ дал: энштейн33
0
та в место Е должен быть Т
Ответ дал: энштейн33
0
ответь
Ответ дал: энштейн33
0
Amorfus
Ответ дал: Rumitsoff
0
Формула верна
________________
Приложения:
Вас заинтересует