• Предмет: Алгебра
  • Автор: Great666queen
  • Вопрос задан 9 лет назад

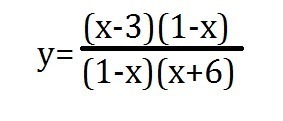
Найдите область определения функции
!Нужно с полным решением!

Приложения:

Ответы

Ответ дал: andrei231199
0
Т.к. знаменатель не может равняться 0, то
1-x≠0    x+6≠0
 x₁≠1     x₂≠-6
Во всех остальных случаях функция существует
⇒D(x)=(-∞;-6)∪(-6;1)∪(1;+∞)
Вас заинтересует