• Предмет: Математика
  • Автор: andrey22001
  • Вопрос задан 9 лет назад

Упростите
4cos(270-a)-7cos x tg(180-a)+sin(180-a)
С обьяснением,пожалуйста

Ответы

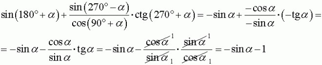
Ответ дал: MoNcTeR89500636139
0
вот это фото нехватает символов ааааааааааааааааааа
Приложения:
Вас заинтересует