• Предмет: Математика
  • Автор: vlada334
  • Вопрос задан 9 лет назад

Помогите с номером 10!)))

Приложения:

Ответы

Ответ дал: EseniyaPascal
0
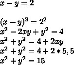
Полное решение.
 . .   . . . . 

                

Приложения:
Вас заинтересует