• Предмет: Математика
  • Автор: lananauman01
  • Вопрос задан 9 лет назад

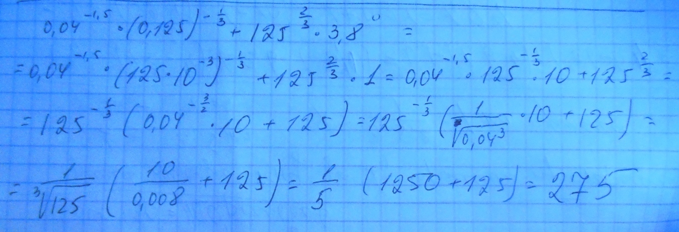
Решите пожалуйста 124 пример ((((

Приложения:

Ответы

Ответ дал: mrsen4ek
0
Есть ответ? А то может не правильно
Приложения:
Ответ дал: lananauman01
0
ответа нет,а дальше можно как-нибудь дорешать ???
Ответ дал: mrsen4ek
0
что дальше? я решил получилось 650
Ответ дал: miron2077
0
!!!!!!!!!!!!!!!!!!!!!!!!!
Приложения:
Вас заинтересует