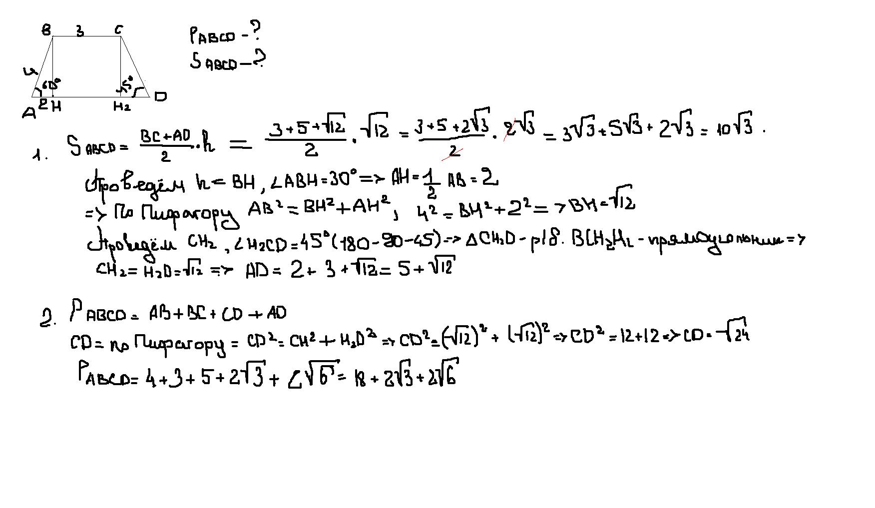
Помогите решить как можно быстрее.Дана трапеция ABCD.Угол A=60градусов.Угол D=45 градусов.Сторона ВС(наверху)=3 см.Сторона AB(слева)=4.Найти периметр и площадь ABCDюПожалуйста как можно быстрее.Буду очень благодарен.
Ответы
Ответ дал:
0
Скорее всего я что-то напутала с цифрами, но суть решения верна! Прикрепляю, может поможет!
Приложения:

Вас заинтересует
2 года назад
2 года назад
8 лет назад
10 лет назад
10 лет назад
10 лет назад