• Предмет: Физика
  • Автор: FENDER7772278
  • Вопрос задан 9 лет назад

Умоляю помогите
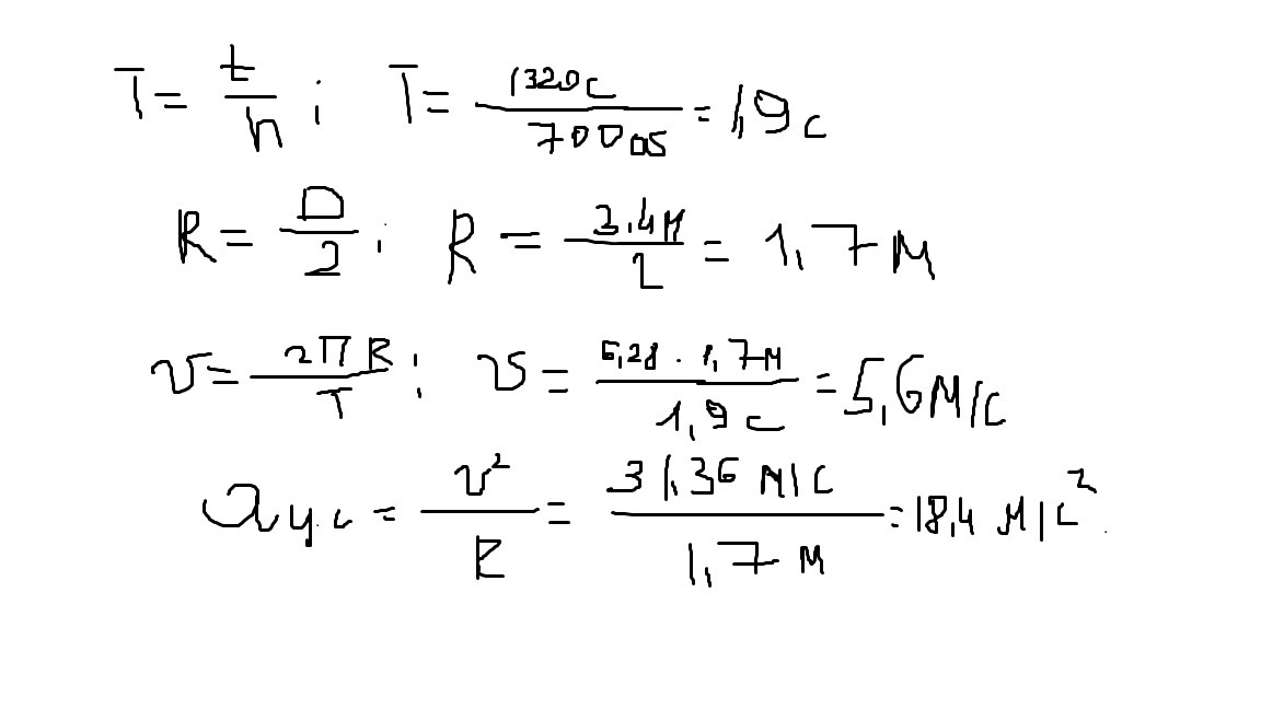
Вращающийся диск диаметром 3,4 за время 22 мин делает 700 оборотов
1)Определите радиус R диска, период T и частоту v его вращения
2)Вычислите линейную скорость движения крайних точек диска
3)Чему равно центростремительное ускорение a?

Ответы

Ответ дал: Amorfus
0
Если размер диска дан в метрах то так 
Приложения:
Ответ дал: FENDER7772278
0
Да в метрах
Вас заинтересует