Ответы
Ответ дал:
0
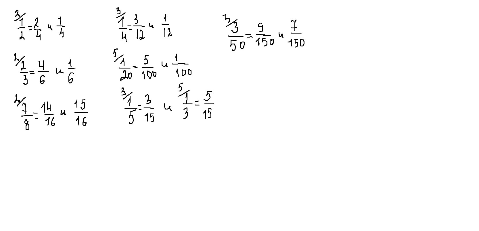
сверху написаны допол.множители
4:2=2
6:3=2
16:8=2
12:4=3
100:20=5
в этом примере общий знам. это произведение 3*5
150:50=3
4:2=2
6:3=2
16:8=2
12:4=3
100:20=5
в этом примере общий знам. это произведение 3*5
150:50=3
Приложения:

Вас заинтересует
2 года назад
6 лет назад
9 лет назад
9 лет назад
10 лет назад