Ответы
Ответ дал:
0
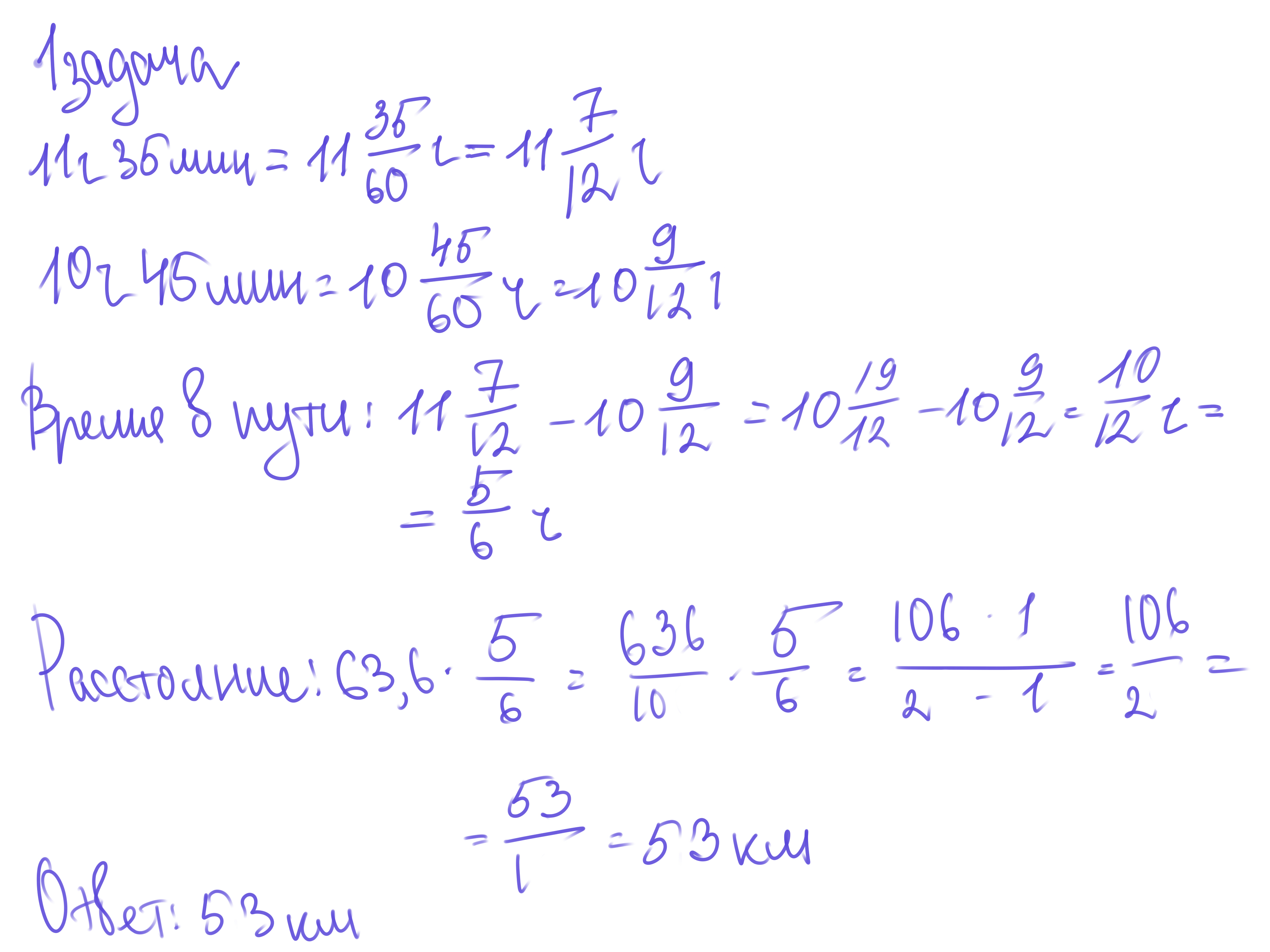
Вот, смотри на картинках, вроде, подробно написал.
Приложения:


Ответ дал:
0
спасибо огромное!
Вас заинтересует
2 года назад
6 лет назад
6 лет назад
9 лет назад
9 лет назад
10 лет назад