• Предмет: Математика
  • Автор: 1YuriKOkay1
  • Вопрос задан 9 лет назад

Здравствуйте, помогите решить домашнее задание по теме :
«Производная и её применение . Первообразная.»

Подробно, полностью и качественно.

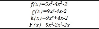
Для какой из функций f(x),g(x),h(x) функция F(x) является первообразной?

Приложения:

Ответы

Ответ дал: kmike21
0
F'(x)=9x²-4x-2
Ответ: g(x)
Ответ дал: 1YuriKOkay1
0
Я не знаю как решать, но как - то не подробно: з
Вас заинтересует