• Предмет: Алгебра
  • Автор: Лизаветка001
  • Вопрос задан 9 лет назад

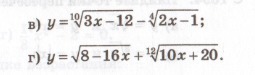
Помогите найти область определения функции (желательно с полным решением).

Приложения:

Ответа на этот вопрос пока нет. Попробуйте найти его через форму поиска.

Вас заинтересует