• Предмет: Алгебра
  • Автор: namotrasnik
  • Вопрос задан 9 лет назад

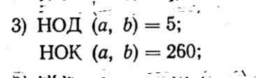
Помогите найти натуральные числа a и b, если:

Приложения:

Ответа на этот вопрос пока нет. Попробуйте найти его через форму поиска.

Вас заинтересует