Ответы
Ответ дал:
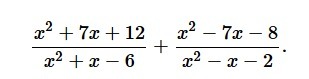
0
дальше просто не поместилось
(2х-4)/х-2
2(х-2)/х-2
х-2 сокращается и в ответ получается 2
(2х-4)/х-2
2(х-2)/х-2
х-2 сокращается и в ответ получается 2
Приложения:

Вас заинтересует
2 года назад
2 года назад
6 лет назад
6 лет назад
9 лет назад
9 лет назад
10 лет назад