Почему нет ответа!!!???
На такой пример: 18-16х=-30х-10???Пожалуйста ришите этот пример мне срочно нужно!!!Пряи сейчас!!!
Ответы
Ответ дал:
0
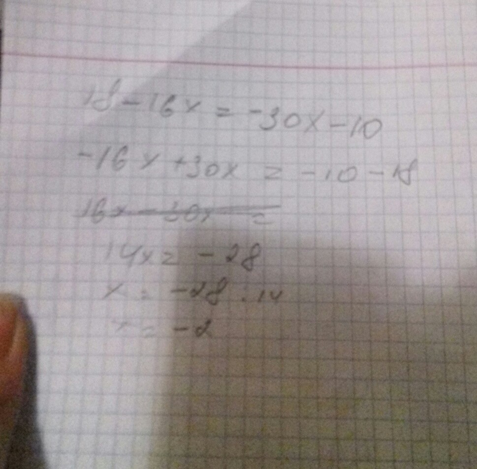
18-16x=-30x-10
-16x+30x=-10-18
14x=-28
x=-2
-16x+30x=-10-18
14x=-28
x=-2
Ответ дал:
0
как то так.........
и почему людям не спится..?.....
и почему людям не спится..?.....
Приложения:
Вас заинтересует
3 года назад
7 лет назад
7 лет назад
10 лет назад
10 лет назад