Ребятушки помогите пожалуйста с алгеброй(((
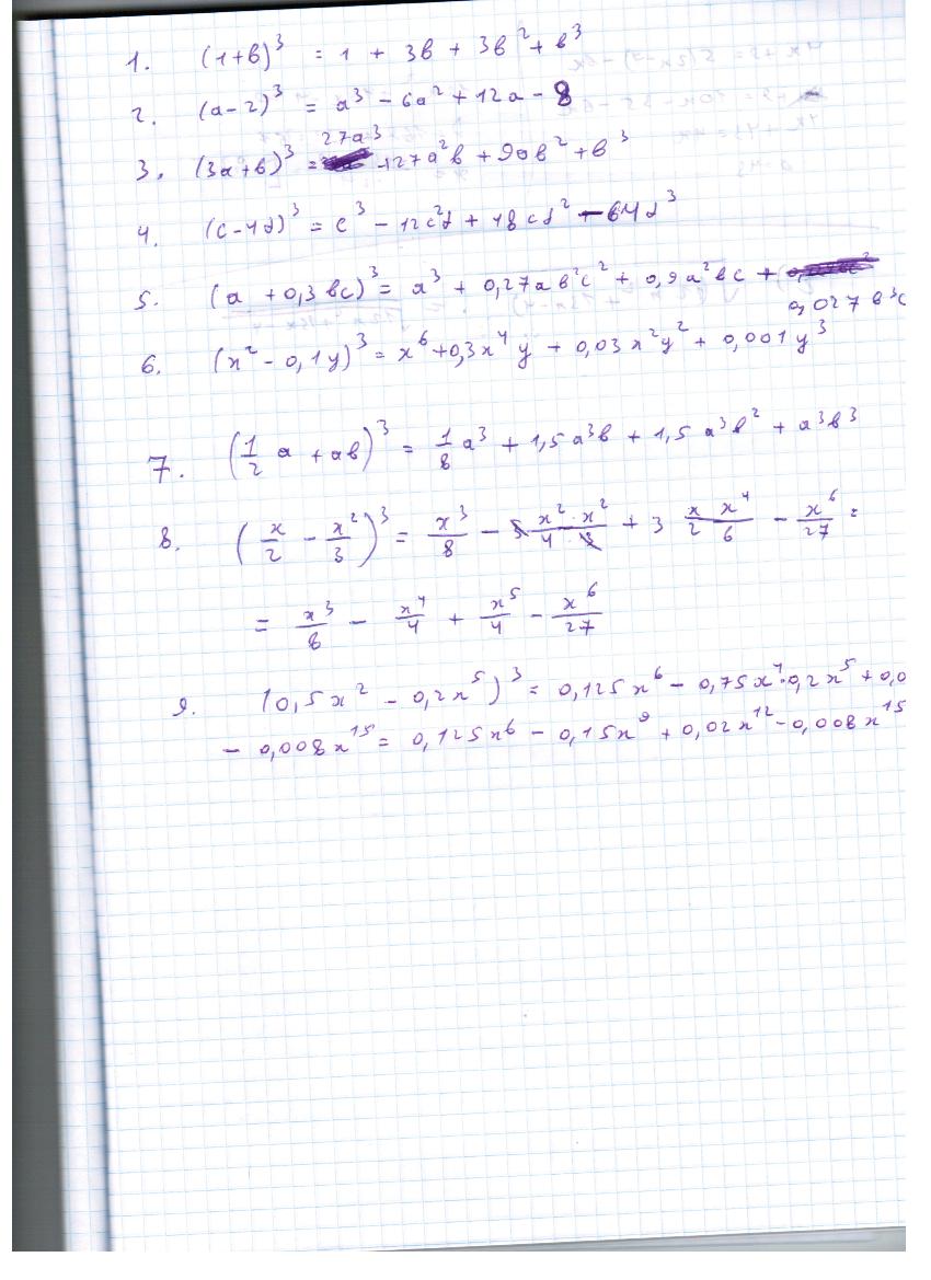
Приведите к многочлену стандартного вида выражение:
1.(1+b)^3
2.(а-2)^3
3.(3a+b)^3
4.(c-4d)^3
5.(a+0.3bc)^3
6.(x^2-0.1y)^3
остальные во вложениях,очень прошу помогите)
Приложения:


Ответы
Ответ дал:
0
Всё просто. Смотрите вложения:
Приложения:

Вас заинтересует
2 года назад
2 года назад
8 лет назад
8 лет назад
10 лет назад
10 лет назад