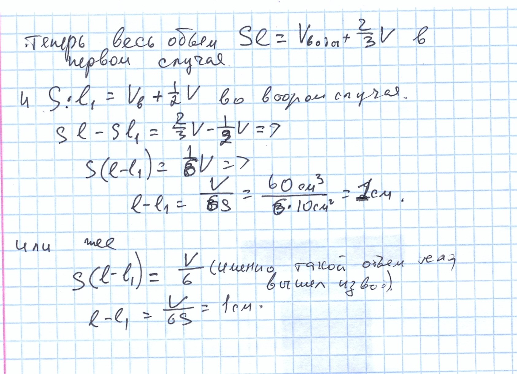
В цилиндрическом сосуде с водой находится
частично погружённое в воду тело, привязанное
натянутой нитью ко дну сосуда. При этом тело
погружено в воду на две трети своего объёма. Если
перерезать нить, то тело всплывёт и будет плавать
погружённым в воду наполовину. На сколько при
этом изменится уровень воды в сосуде? Масса тела m = 30 г, плотность воды
ρ = 1,0 г/см3
, площадь дна сосуда S = 10 см
Ответы
Ответ дал:
0
Задачка красивая. Надеюсь не ошибся.
Приложения:


Ответ дал:
0
ну как
Ответ дал:
0
отпр нормально
Ответ дал:
0
вообще не разб
Вас заинтересует
2 года назад
6 лет назад
9 лет назад
9 лет назад
10 лет назад