• Предмет: Математика
  • Автор: МилашкаНяшкай
  • Вопрос задан 9 лет назад

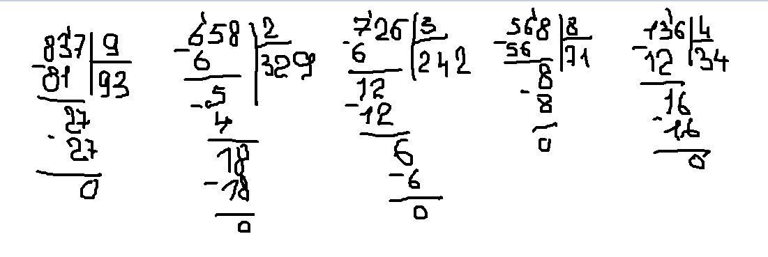
номер 78 только столбиком пожалуйста?

Приложения:

Ответы

Ответ дал: rozamarena
0
только в пейнте могу)
Приложения:
Ответ дал: МилашкаНяшкай
0
спасибочки
Ответ дал: МилашкаНяшкай
0
ты лучший
Вас заинтересует