Ответы
Ответ дал:
0
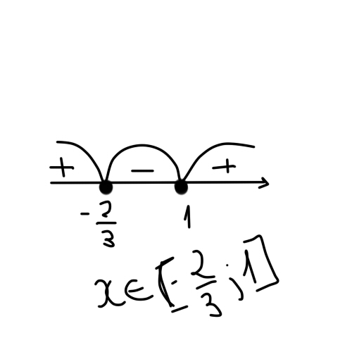
3x^2-x-2=<0
3x^2-x-2=0
D=1+24=25
x1= 1+5/6=1
х2=1-5/6= -2/3
3x^2-x-2=3(x-1)(x+2/3)=(x-1)(3x+2)
(после рисунка ответ)
Ответ: На рисунке
3x^2-x-2=0
D=1+24=25
x1= 1+5/6=1
х2=1-5/6= -2/3
3x^2-x-2=3(x-1)(x+2/3)=(x-1)(3x+2)
(после рисунка ответ)
Ответ: На рисунке
Приложения:
Ответ дал:
0
ОТВЕТ ИЗМЕНЕН!
Ответ дал:
0
Можно еще так: x1=1, x2=(-2/3) , т.к. сумма коэффициентов равна нулю
Вас заинтересует
2 года назад
2 года назад
7 лет назад
7 лет назад
9 лет назад
10 лет назад