• Предмет: Математика
  • Автор: Narmina23
  • Вопрос задан 9 лет назад

Люди помогите пожалуйста мне есле кто сможет ))просто я вас прошу

Приложения:

Ответы

Ответ дал: audi006
0

Ну вроде бы я думаю правильно хотя незнаю если что не бейте

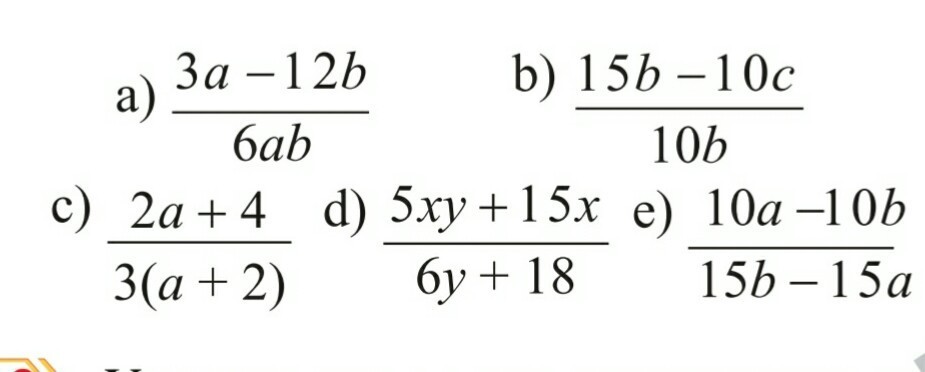
в первом

3а-12б будет -9аб и снизу под чертой 6аб тобиш -9аб разделить на 6 аб будет -3 числитель и 2 знаменатель и будет -1целая 1 вторая, а дроби сокращаются

остальные так же, тут просто писать неудобно


                                                                                   

Приложения:
Ответ дал: Narmina23
0
Спасибо большоее
Вас заинтересует