Ответы
Ответ дал:
0
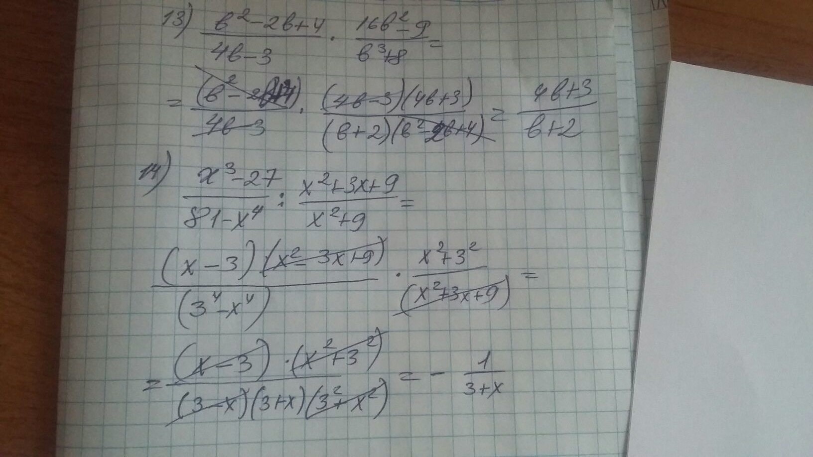
13) b^2-2b+4/4b-3 * 16b^2-9/b^3+8 = 0
b^2-2b+4/4b-3 * (4b-3)(4b+3)/(b+2)(b^2-2b+4)
Сокращаем(Зачёркиваем) b^2-2b+4 в 1 числителе и b^2-2b+4 во 2 знаменателе, и 4b-3 на (4b-3), получаем :
b^2-2b+4/4b-3 * (4b-3)(4b+3)/(b+2)(b^2-2b+4) = 4b+3/b+2
b^2-2b+4/4b-3 * (4b-3)(4b+3)/(b+2)(b^2-2b+4)
Сокращаем(Зачёркиваем) b^2-2b+4 в 1 числителе и b^2-2b+4 во 2 знаменателе, и 4b-3 на (4b-3), получаем :
b^2-2b+4/4b-3 * (4b-3)(4b+3)/(b+2)(b^2-2b+4) = 4b+3/b+2
Ответ дал:
0
x^3-27/81-x^4 : x^2+3x+9/x^2+9 =
= -(x-3)(x^2+3x+9)/x^4+81 * (x+3)(x+3)/x^2+3x+9 =
= -(x-3)(x^2+3x+9)/(x+3)(x+3) * (x+3)(x+3)/x^2+3x+9 =
= -(x-3) = -x+3
= -(x-3)(x^2+3x+9)/x^4+81 * (x+3)(x+3)/x^2+3x+9 =
= -(x-3)(x^2+3x+9)/(x+3)(x+3) * (x+3)(x+3)/x^2+3x+9 =
= -(x-3) = -x+3
Ответ дал:
0
-1/(х+3) ответ
Ответ дал:
0
Почему?
Ответ дал:
0
(x^2+3x+9) и x^2+3x+9 мы сократили, (x+3)(x+3) и (x+3)(x+3) сократили, осталось -(x-3)
Ответ дал:
0
x^3-27/81-x^4 : x^2+3x+9/x^2+9 =
= -(x-3)(x^2+3x+9)/x^4+81 * (x+3)(x+3)/x^2+3x+9 =
= -(x-3)(x^2+3x+9)/(x+3)(x+3)(x+3)(x+3)(x+3) * (x+3)(x+3)/x^2+3x+9 =
= -(x-3) = -x+3/(x+3)(x+3) = -1/x+3
= -(x-3)(x^2+3x+9)/x^4+81 * (x+3)(x+3)/x^2+3x+9 =
= -(x-3)(x^2+3x+9)/(x+3)(x+3)(x+3)(x+3)(x+3) * (x+3)(x+3)/x^2+3x+9 =
= -(x-3) = -x+3/(x+3)(x+3) = -1/x+3
Ответ дал:
0
решение смотреть на фото
Приложения:
Вас заинтересует
2 года назад
2 года назад
10 лет назад
10 лет назад
10 лет назад