• Предмет: Алгебра
  • Автор: simnastiya1314
  • Вопрос задан 9 лет назад

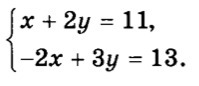
РЕШИТЕ СИСТЕМУ УРАВНЕНИЯ. ОЧЕНЬ НУЖНО!!!!! ПАЖАЛУЙСТА ПОМОГИТЕ!!!!! ЗАВТРА СДАВАТЬ!!!!! БУДУ ОЧЕНЬ БЛАГОДАРНА!!!! :)

Приложения:

Ответы

Ответ дал: rubilovalex
0
x=11-2y. подставляем во 2 уравнение: -2*(11-2y)+3y=13; -22+4y+3y=13; 4y+3y=13+22; 7y=35; y=35/7=5. x=11-2*5=1. Ответ:(1:5).
Вас заинтересует