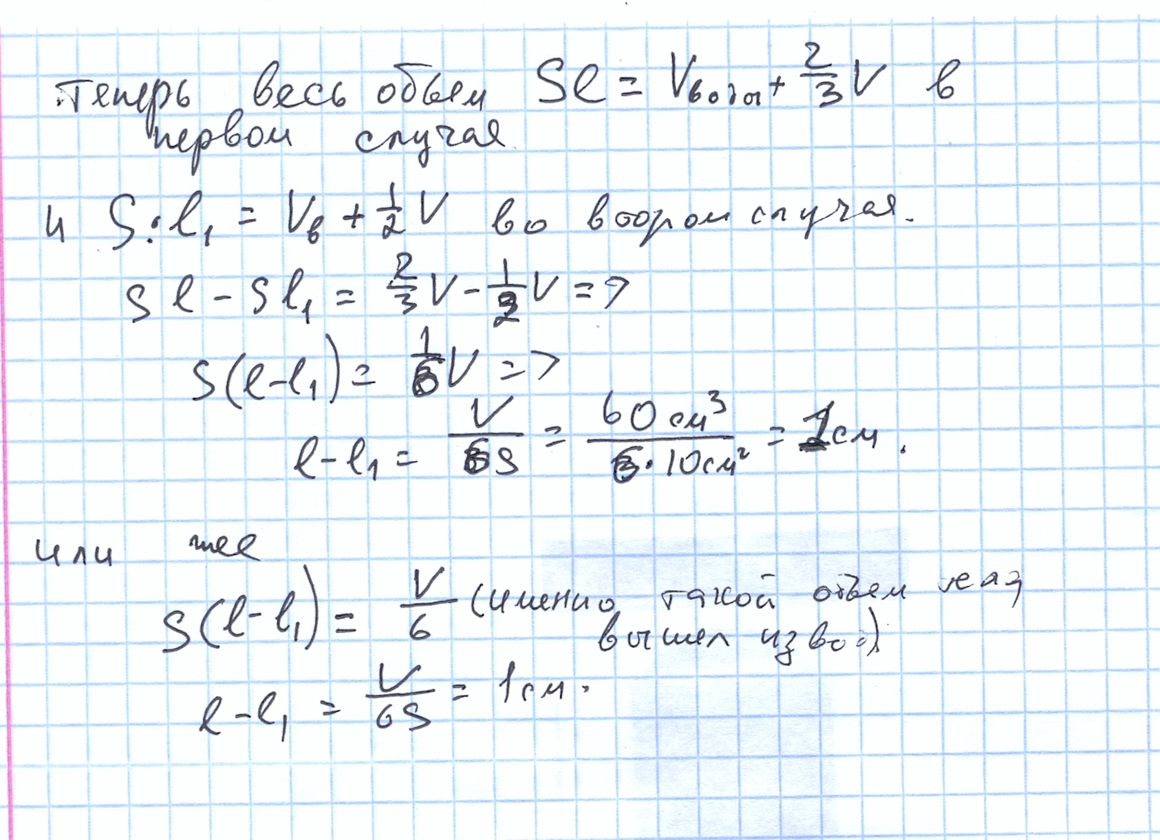
в цилиндрическом сосуде с водой находится частично погруженные в воду тело привязанное натянутой нитью ко дну сосуда при этом тело погруженное в воду на 2/3 своего объема Если перерезать нить то тело всплывёт и будет плавать погруженным в воду наполовину На сколько при этом изменится уровень воды в сосуде масса тела равна 30 г плотность воды равна 1,0 г/см в кубе,площадь дна сосуда равна 10 см в квадрате
Ответы
Ответ дал:
0
В цилиндрическом сосуде с водой находится частично погруженные в воду тело привязанное натянутой нитью ко дну сосуда при этом тело погруженное в воду на 2/3 своего объема Если перерезать нить то тело всплывёт и будет плавать погруженным в воду наполовину На сколько при этом изменится уровень воды в сосуде масса тела равна 30 г плотность воды равна 1,0 г/см в кубе,площадь дна сосуда равна 10 см в квадрате
Приложения:


Вас заинтересует
2 года назад
6 лет назад
6 лет назад
9 лет назад
9 лет назад
10 лет назад