• Предмет: Математика
  • Автор: xfawtg
  • Вопрос задан 9 лет назад

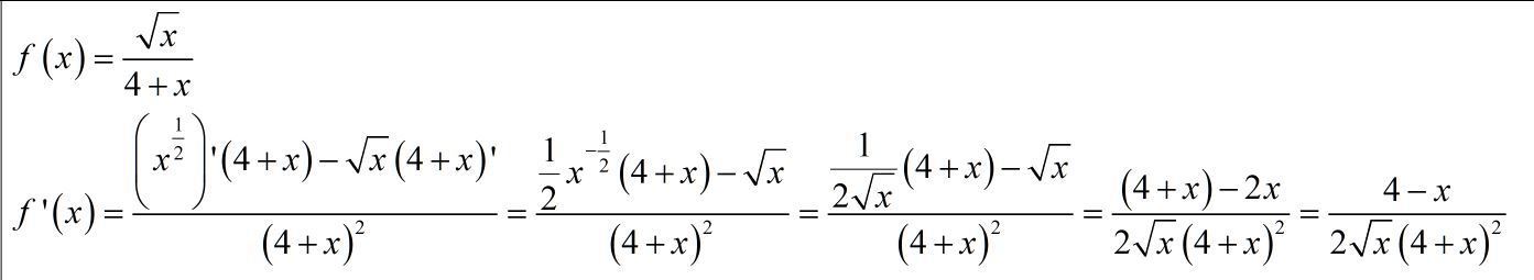
ДАМ МНОГО БАЛЛОВ!! НАЙТИ ПРОИЗВОДНУЮ!!!

Приложения:

Ответы

Ответ дал: Аноним
0
решение во вложении............................................
Приложения:
Ответ дал: xfawtg
0
спасибо чел!!
Ответ дал: Аноним
0
будь здрав!
Вас заинтересует