• Предмет: Геометрия
  • Автор: Artem5455495
  • Вопрос задан 9 лет назад

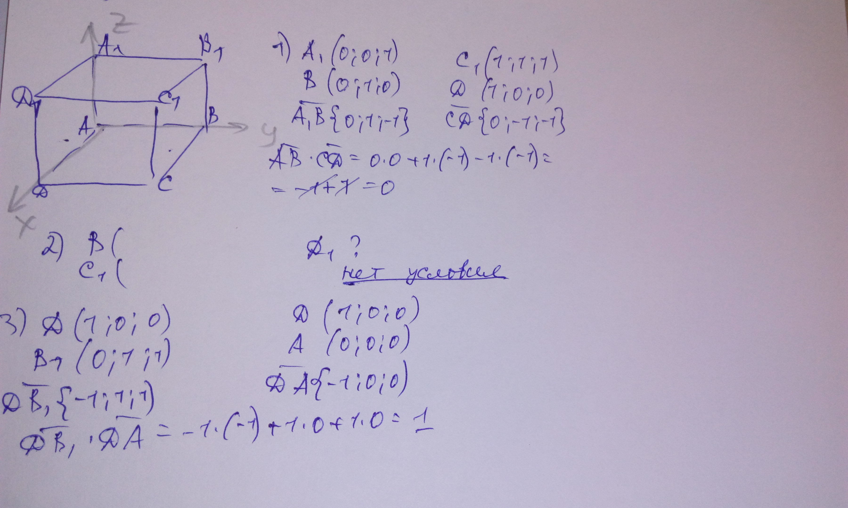
Ребро куба ABCDA1B1C1D1 равно а. Найдите скалярное произведение векторов:
а) A1B и C1D
б) BC1 и D1
в) DB1 и DA

Ответы

Ответ дал: irinan2014
0
Решение дано на фото.
Приложения:
Вас заинтересует