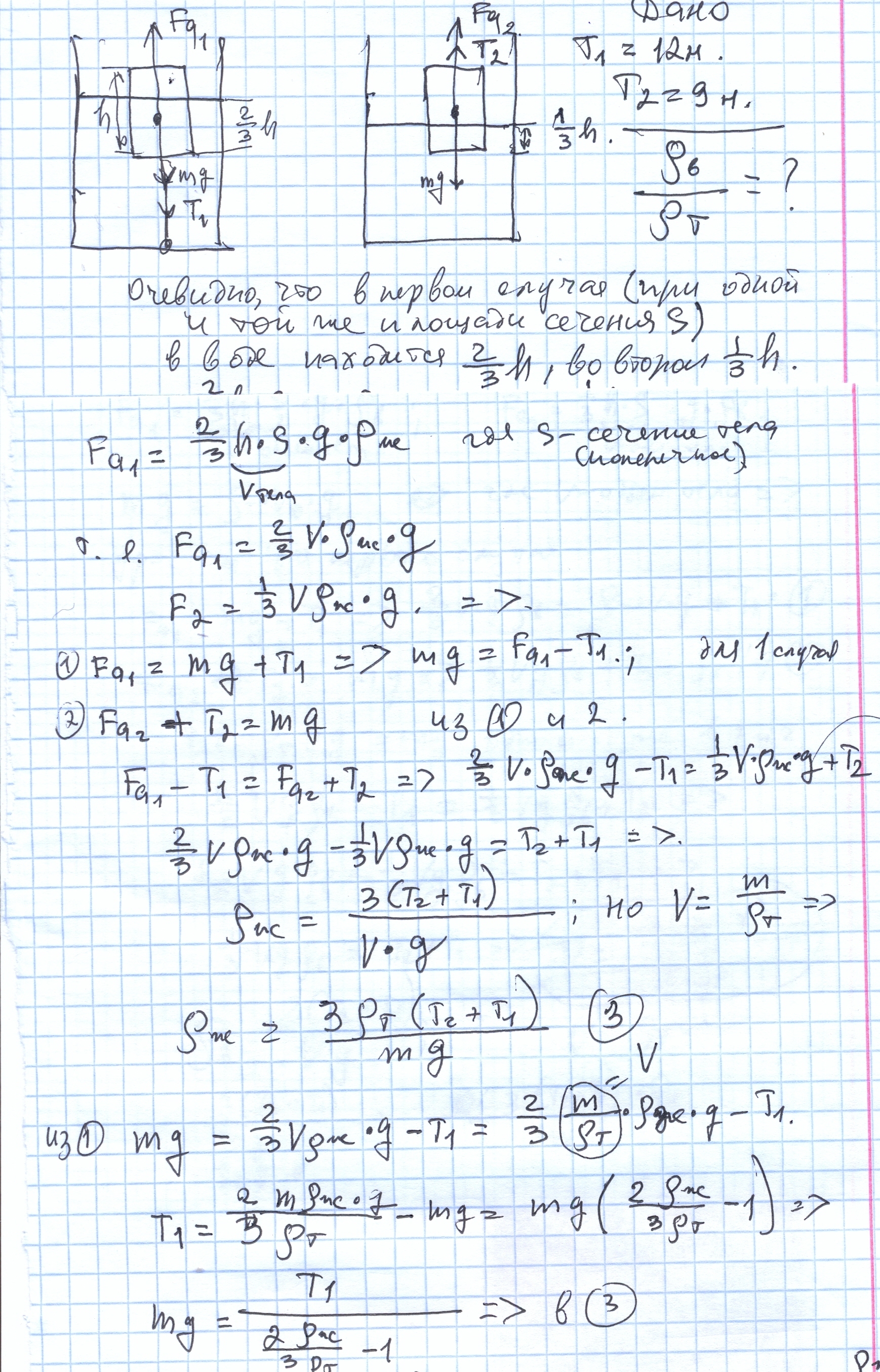
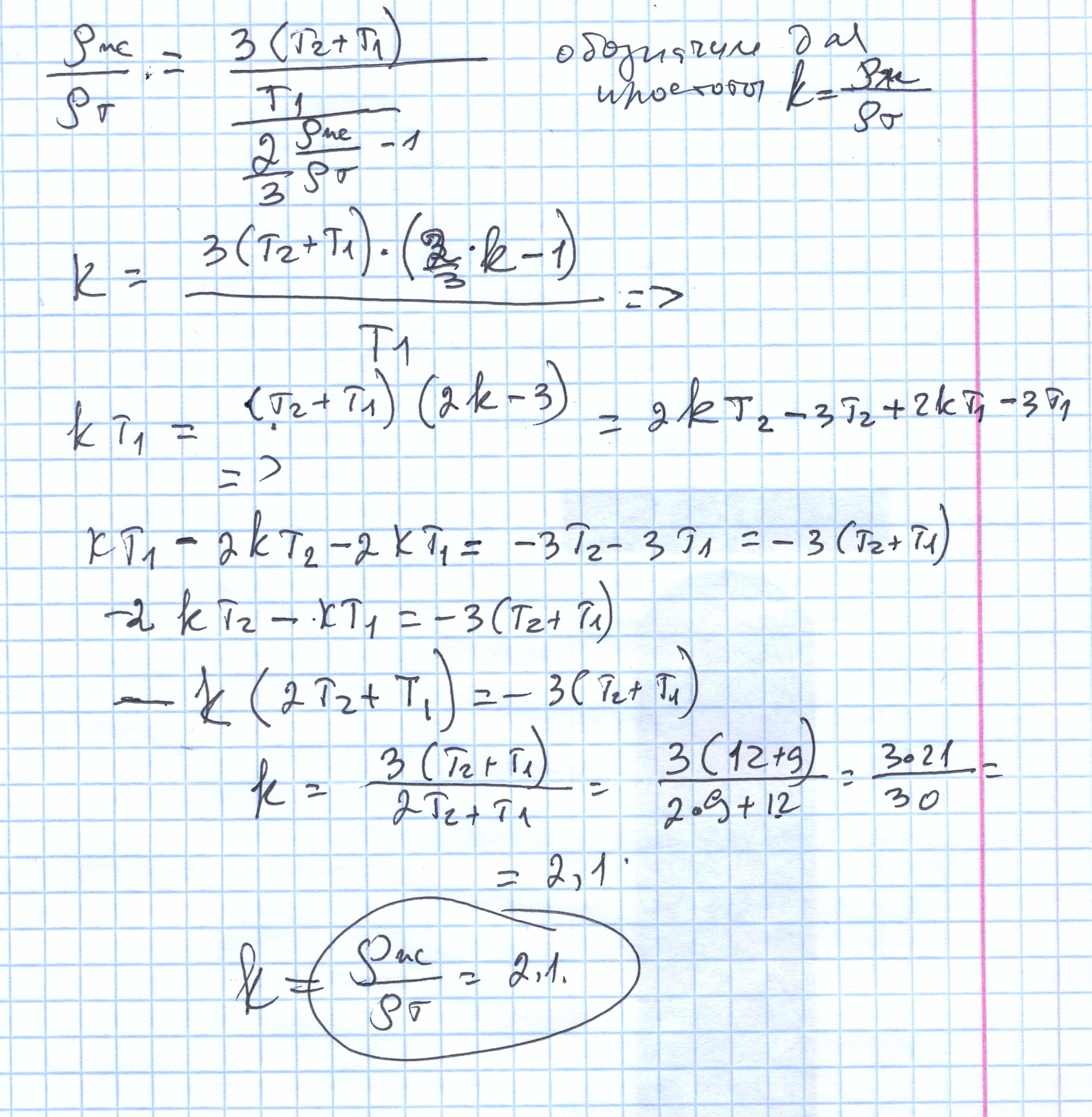
Тело, привязанное нитью ко дну сосуда, погружено
в жидкость на 2/3 своего объёма. Сила натяжения
нити при этом равна T1 = 12 Н. Для того чтобы
вынуть это тело из жидкости на 2/3 объёма, нужно
отвязать тело ото дна и приложить к нему сверху
направленную вертикально вверх силу T2 = 9 Н.
Определите отношение плотностей жидкости и тела.
Ответы
Ответ дал:
0
Неужели школьная задача? Надеюсь не напутал.
Прошу простить за оформление, но уже устал. И, да, уверен, есть более простое решение, но увы.
Прошу простить за оформление, но уже устал. И, да, уверен, есть более простое решение, но увы.
Приложения:


Ответ дал:
0
я знаю решение на много проще ответ тот же только объем на ньютоны не прибавляют нужно все соотнести ответ правильный а вот в решение формальная ошибка
Ответ дал:
0
Так напишите решение. И где я объем на силу добавил?
Ответ дал:
0
Если окно закрылось - обратитесь, я вывешу задачу снова.
Вас заинтересует
2 года назад
2 года назад
6 лет назад
6 лет назад
10 лет назад
10 лет назад