• Предмет: Алгебра
  • Автор: ПростоЯся
  • Вопрос задан 9 лет назад

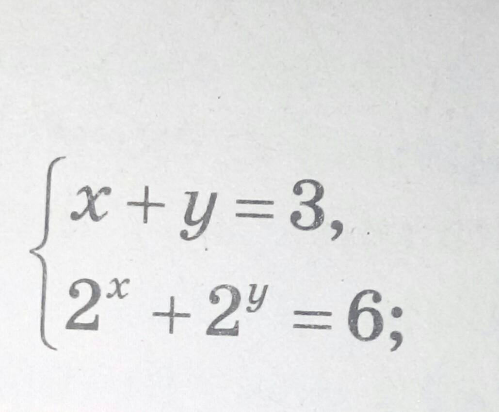
Решить систему на фото

Приложения:

Ответы

Ответ дал: amin07am
0
Ответ
°•○●°•○●°•○●°•○●°•○●••○●
Приложения:
Ответ дал: ПростоЯся
0
можешь еще одно решить?
Вас заинтересует