• Предмет: Математика
  • Автор: Elumi123
  • Вопрос задан 9 лет назад

Помогите решить, пожалуйста!!!

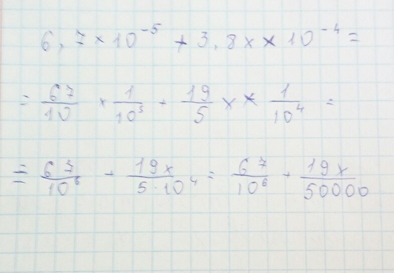
6,7 х 10 в степени -5 + 3,8 х 10 в степени -4=?

Ответы

Ответ дал: Ayana0001
0
67/10^6+19/5×10^4=67/10^6+19/50000
Приложения:
Ответ дал: Ayana0001
0
Там в начале же есть)
Ответ дал: Elumi123
0
в исходном примере нет икса
Ответ дал: Elumi123
0
х - это умножить
Ответ дал: Ayana0001
0
Аа да извини, это оказывается умножение
Ответ дал: Ayana0001
0
Ок щас сделаю)
Вас заинтересует