№1
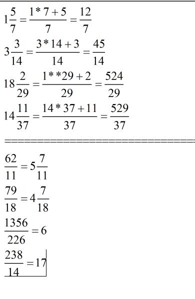
ПРЕДСТАВЬТЕ ЧИСЛА 1 5_7 . 3 3_14 18 2_29 14 11_37 В ВИДЕ НЕПРАВИЛЬНЫХ ДРОБЕЙ
№2
ИСКЛЮЧИТЕ ЦЕЛУЮ ЧАСТЬ ИЗ 62_11. 79_18 1356_226 238 _14
Ответы
Ответ дал:
0
======================================================
Приложения:

Вас заинтересует
2 года назад
2 года назад
8 лет назад
8 лет назад
10 лет назад
10 лет назад
10 лет назад