• Предмет: Математика
  • Автор: ShaDN1
  • Вопрос задан 9 лет назад

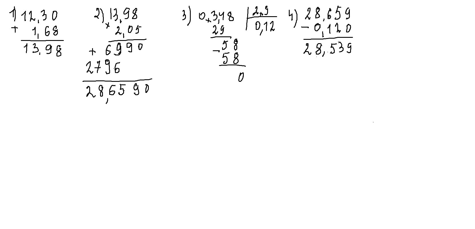
Помогите пожалуйста С КТ Математика 6 класс

(12,3+1,68) X 2,05-0,348:2,9=
Помогите пожалуйста столбиком,
X-Умножить

Ответы

Ответ дал: parus77
0
решение  смотри внизу
сейчас добавлю
Приложения:
Ответ дал: ShaDN1
0
Самоходный баркас 3,5 z шла по течение и 1,2z против течени.Скорость баркаса 18,5км/ч а скорость течение реки 2,7 км/x какой путь прошла баркас за все это время?
Ответ дал: ShaDN1
0
помоги решить
Ответ дал: катяномерван
0
помоги пожалуста
Вас заинтересует