• Предмет: Алгебра
  • Автор: Оалкд
  • Вопрос задан 9 лет назад

Решите пожалуйта побыстрее

Приложения:

Ответы

Ответ дал: parus77
0
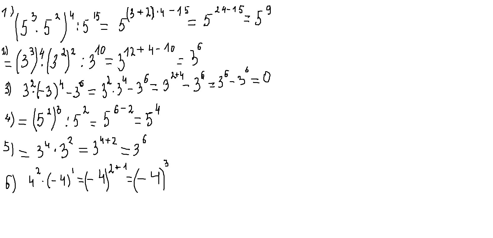
смотри решение внизу,там заменила  9=3²,  25=5²
Приложения:
Ответ дал: sofiya1233
0
весь ответ на фото
приложение для решения любых примеров
PhotoMatch
Приложения:
Вас заинтересует