Ответы
Ответ дал:
0
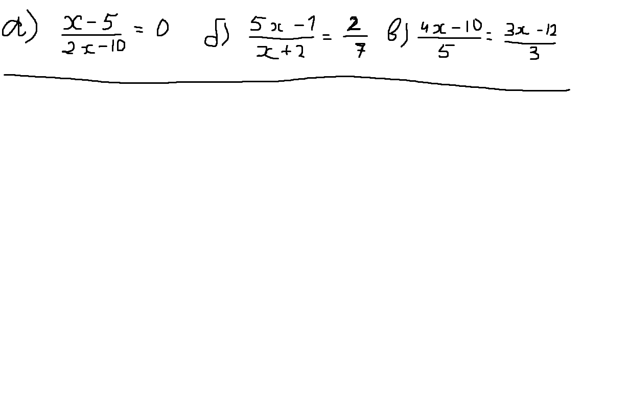
а)(х-5)/(2х-10) = 0
(x-5)/2(x-5)=0
1/2=0
Уравнение не имеет корней.
б) (5x-1)/(x+2) = 2/7 | * 7(x+2) причём х не равном -2
7(5x-1)=2(x+2)
35x - 7 = 2x + 4
33x = 11
x = 1/3
в)(4x-10)/5 = (3x-12)/3 | * 15 Умножаем, чтобы избавится от знаменателей дробей
3(4x-10) = 5(3x-12)
12x - 30 = 15x - 60
3x = 30
x=10
(x-5)/2(x-5)=0
1/2=0
Уравнение не имеет корней.
б) (5x-1)/(x+2) = 2/7 | * 7(x+2) причём х не равном -2
7(5x-1)=2(x+2)
35x - 7 = 2x + 4
33x = 11
x = 1/3
в)(4x-10)/5 = (3x-12)/3 | * 15 Умножаем, чтобы избавится от знаменателей дробей
3(4x-10) = 5(3x-12)
12x - 30 = 15x - 60
3x = 30
x=10
Приложения:
Ответ дал:
0
решений нет, т.к. х-5
2. 7(5x-1) = 2(x+2)
35x - 7 = 2x + 4
33x = 11
x =
3. 3(4x-10) = 5(3x-12)
12x - 30 = 15x - 60
3x = 30
x=10
Приложения:
Вас заинтересует
3 года назад
3 года назад
8 лет назад
8 лет назад
11 лет назад
11 лет назад
11 лет назад