• Предмет: Физика
  • Автор: GothicWolf
  • Вопрос задан 9 лет назад

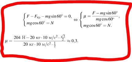
Брусок массой 20 кг равномерно перемещают по склону горки, прикладывая к нему постоянную силу, направленную параллельно поверхности горки. Модуль этой силы равен 204 Н, угол наклона горки к горизонту 60°. Определите коэффициент трения между бруском и склоном горки. Ответ округлите до десятых долей.

Ответы

Ответ дал: Райлюха
0
Ответ: 0,3.
))))))))))))))))
Приложения:
Ответ дал: GothicWolf
0
Не понимаю только, почему там именно синус в первой строчке...
Ответ дал: GothicWolf
0
объясни, если понимаешь, плиз
Вас заинтересует