Добрый вечер!Добрые люди, пожалуйста, помогите! Срочно!
Задание такое:
привести к общему знаменателю, эти дроби:
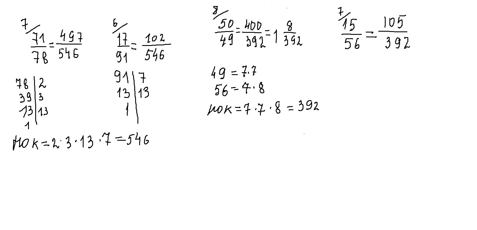
71/78 и 17/91
50/49 и -15/56
Пожалуйста!
Ответы
Ответ дал:
0
смотри решение внизу
Приложения:

Ответ дал:
0
спасибо огромное
Вас заинтересует
2 года назад
6 лет назад
6 лет назад
9 лет назад
9 лет назад
10 лет назад