• Предмет: Алгебра
  • Автор: гргпг
  • Вопрос задан 9 лет назад

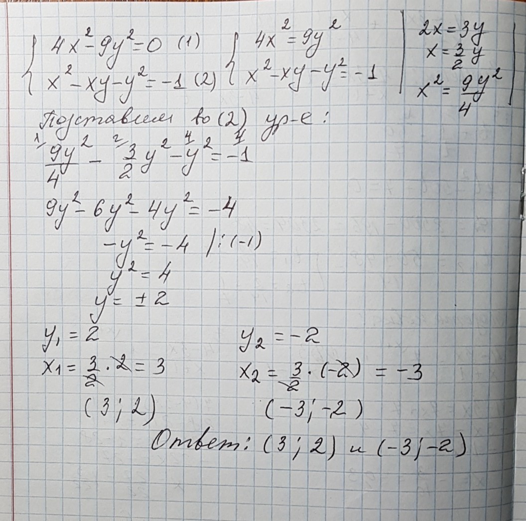
Решите систему уравнений:
4х²-9у²=0
х²-ху-у²=-1
ПОЖАЛУЙСТА, РЕШИТЕ ОЧЕНЬ НУЖНО СРОЧНО

Ответы

Ответ дал: подкожного
0
решение задания смотри на фотографии
Приложения:
Ответ дал: подкожного
0
спасибо за оценку
Вас заинтересует