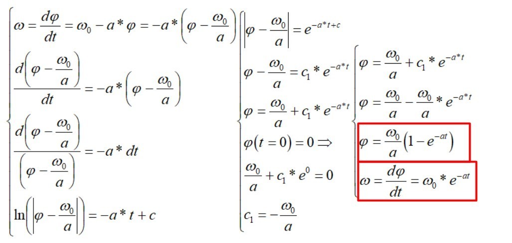
Твердое тело вращается вокруг неподвижной оси так, что его угловая скорость зависит от угла поворота φ по закону ω = ω0 - аφ, где ω0 и а — положительные постоянные. В момент времени t = 0 угол φ = 0. Найти зависимости от времени: а) угла поворота; б) угловой скорости.
Ответы
Ответ дал:
0
смотри решение во вложении
ответы смотри в рамочке
ответы смотри в рамочке
Приложения:
Вас заинтересует
2 года назад
7 лет назад
7 лет назад
10 лет назад
10 лет назад