• Предмет: Алгебра
  • Автор: Аноним
  • Вопрос задан 11 лет назад

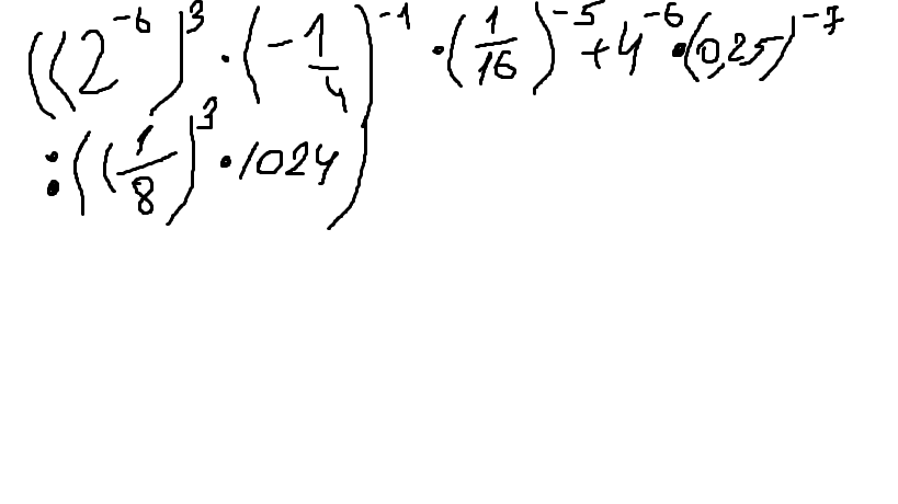
пример со степенями :3

Приложения:

Ответы

Ответ дал: Orakul555
0
2^(-18)*(-4)*16^5+4^(-6)*4^7/(2^-9*2^10)=-2^(-18)*2^2*2^20+2=-16+2=-14
Ответ дал: julshum
0
У меня тоже -14 получается.
Приложения:
Вас заинтересует