• Предмет: Алгебра
  • Автор: nadeliaevnik
  • Вопрос задан 9 лет назад

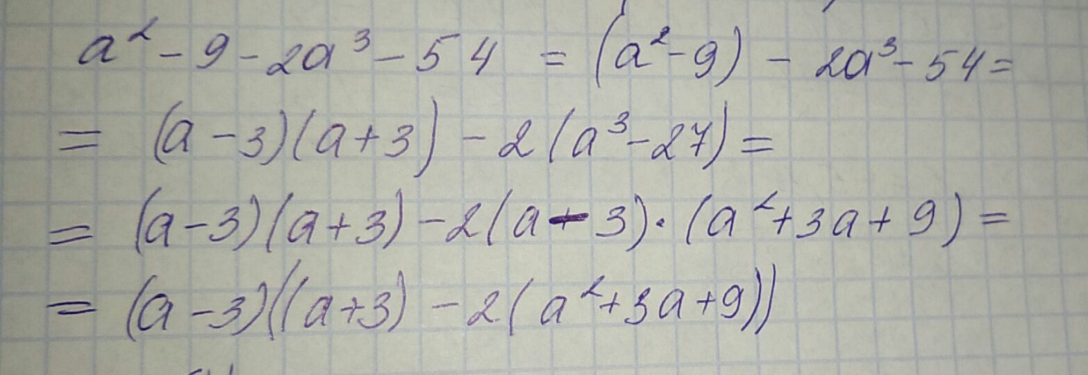
Разложите на множители: a^2-9-2(a^3+27)

Ответы

Ответ дал: JaOw
0
Ответ & & & & & & & & & & & & &
Приложения:
Вас заинтересует